Welcome to Dr. Kate Kraus Brilakis' Learning Portal

T cells undergo somatic recombination, a process whereby the genes that code for the receptors on the T cells will be spliced to produce novel combinations. This produces T cell clones which all express unique TCRs (T cell Receptors). These TCRs permit different T cell clones to bind and recognize different antigens. TCRs will bind to an antigen being presented by an APC (MHC). If a somatic cell was infected by a virus, the cell would present the viral antigens on its surface via its MHC (more on this later). This would then act as a signal to circulating T cells with a compatible TCR. This T cell would then bind to the antigen-MHC complex on the infected cell and kill it. T cells have to be selective, however, and not bind to "self" antigens which are present on your cells, recognizing what is foreign vs what is self. This process is called +/- selection.

Classes of Hormones

     Pathogens

compared to type 2

        Immunity:
​ Innate Immunity

Lymphopoiesis is the production of lymphocytes, including NK cells, B cells and T cells. These T cells have long shelf lives...4-20 years and circulate about the body spending time in the blood, spleen and lymph nodes. Lymphoid stem cells in the red marrow produce NK cells and B cells. Lymphoid stem cells that migrate to the thymus gland produce T cells. There is a blood thymus barrier (a sheath of cells around thymic capillaries that prevents the newbie T cells in the cortex of the thymus from being exposed to circulating antigens) that isolates these developing T cells, an important factor when developing cells that recognize self.

Thyroid
​ Hormone
 

ooops...don't forget
synpatic signaling

Pathology

Opsonins are molecules that adhere to the antigens of pathogens or dead cells which serves as a go-signal for phagocytosis.

Hypothalamus ->
Pituitary ->
Gonads

Macrophages are formed in response to an infection or accumulating damaged or dead cells. Macrophages are large, specialized cells that recognize, engulf and destroy target cells.

  Your primary immune response is the reaction your immune system system takes when it comes in contact with an antigen for the first  time. Your secondary immune response is the reaction when it recognizes and an antigen again.

     coronavirus targets ACE=2 surface proteins found in lungs, kidneys, intestines and blood vessel endothelium.

some hormones are lipid 
soluble...

Why do we need Iodine?

 helper T cell

Mast cells are leukocytes that are found in most tissues of the body, especially those that are in close contact with the outside world such as skin, respiratory system airways and intestines.

                             Pathogenic bacteria make us sick by:
1. Invading host cells. Cells  rupture and intercellular bacteria are released. E. coli, Shigella, Salmonella, and   Neisseria gonorrhoeae induce host epithelial cells to engulf them in a process resembling phagocytosis. 

​2. Producing toxins.
Toxins are poisons. Endotoxins are part of the cell wall of some bacteria and are released   when the bacteria lyses. Exotoxins are proteins produced inside pathogenic bacteria as part of their growth and   metabolism. Exotoxins are released when bacteria die and inhibit cellular metabolism. Exotoxins are VERY   lethal...1 mg of the botulinum exotoxin is enough to kill one million guinea pigs. Disease is caused by the toxins. 

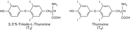
Amine hormonesare synthesized from the amino acids tryptophan or tyrosine. Ex: melatonin is synthesized from tryptophan... when secreted by the pineal gland it helps regulate circadian rhythm. Tyrosine derivatives include thyroid hormones and
catecholamines such as epinephrine, norepinephrine, and dopamine. Epinephrine and norepinephrine are secreted by the adrenal medulla and play a role in the fight-or-flight response, whereas dopamine is secreted by the hypothalamus and inhibits the release of certain anterior pituitary hormones. Some amine hormones are polar while others are not. 

...while the
RAA system increases blood pressure

Interleukin is a type of cytokine that can reset the
thermostat in the hypothalamus increasing body temperature. Monocytes release these and other cytokines in response to pathogenic infection, damage to tissues, or an antigen/antibody reaction.

Hypothalamus ->
Pituitary ->
Adrenal glands

                                         Immunity
​   and the Lymphatic System

Steroid Hormones
are hydrophobic so they can diffuse across the plasma membrane of a cell. Once inside, they bind to receptors in either the cytoplasm or nucleus, forming an activated receptor-hormone complex which moves into the nucleus and binds to the DNA. In this way it serves as a transcription factor, regulating gene expression. Examples of steroid hormones include estrogen, progesterone and testosterone.

  Your spleen is the largest (albeit secondary) organ of your lymphatic system. It's responsible for filtering your blood by removing old or damaged RBCs, storing iron from recycled RBCS, and triggering immune responses by B/T cells circulating in your blood. It exhibits a fibrous capsule attached to the stomach by the gastrosplenic ligament, numerous trabeculae, white pulp where the lymphocytes hang out and red pulp where macrophages  stand by the ready.

An Endocrine Disease
occurs when a gland produces too much or too little of an endocrine hormone leading to a hormone imbalance. Causes may be the development of nodules or tumors which may affect hormone levels.

Blood Glucose controlled by alpha/beta cells of Pancreas

             Part 1: Immunity 

Feedback mechanisms:
a signal is sent from the hypothalamus to the pituitary gland in the form of a "releasing hormone," which stimulates the pituitary to secrete a "stimulating hormone" into circulation. The stimulating hormone then signals the target gland to secrete its hormone. As the level of this hormone rises in the circulation, the hypothalamus and the pituitary gland shut down secretion of the releasing hormone and the stimulating hormone, which in turn slows the secretion by the target gland.

        Immunity: â€‹ Innate vs Adaptive

Dendritic cells are antigen-presenting cells (APC) that process antigen present it on the cell surface to the T cells. They are considered a link between the
innate and the adaptive immune systems.

Natural Killer (NK) Cells are
lymphocytes in the same family as T and B cells (common origin). They are cells of the innate immune system and are able to be first responders to virally infected cells and detecting and controlling early signs of cancer. The role NK cells play is analogous to that of cytotoxic T cells.

    Hormone levels are controlled by one of three homeostatic mechanisms:
   
1. Negative feedback by stimulated hormone:    When one hormone stimulates the
    production of a second, the second suppresses the production of the first.

    Ex.: Follicle stimulating hormone FSH stimulates the release of estrogens from the ovary.
             A high level of estrogen, in turn, suppresses the further production of FSH.

2. Antagonistic pair of hormones:
    Ex. Insulin causes the level of blood sugar (glucose) to drop when it is too high.   
           Glucagon causes it to rise when it is too low.


3. Negative Feedback by controlled molecule:
    Hormone secretion is increased (or decreased) by the concentration of the controlled molecule.
     Ex.: As Ca2+ in the blood rises, it suppresses the production of the Parathyroid hormone (PTH).               
             Low levels of Ca2+ stimulate PTH release.

acquired immunity I:
cell mediated/cellular response:
​cytotoxic T cells identify and destroy infected cells displaying antigen on
​MHC I complex

  Lymph nodules (1 mm) are areas (no fibrous boundaries) where there are loads of lymphocytes. They are usually located in the loose connective tissue beneath membranes in the digestive system, respiratory system, and bladder. Nodes often form clusters such as your tonsils (pharyngeal, palatine, lingual) in the wall of your pharynx.  Another example is MALT = mucosa associated lymphoid tissue, lymphoid tissue that protects the epithelial lining of your gut, respiratory tract, urinary system and reproductive systems. Peyer's patches are nodule clusters in your gut.   

 Acquired Immunity:Humoral/Antibody Response
    (B cells produce Antibodies and memory cells)

The time it takes for a T-cell progenitor to develop into a mature, +selected T cell is approx 3 weeks. 

Diabetes: Type 1

   Immunity: Acquired Immunity

G proteins...how do they work?

 cytotoxic T cell

  Hilum -->

Catecholamines are adrenal hormones. Dopamine, norepinephrine; and epinephrine (adrenalin) are examples. Adrenal glands release catecholamines during physical/emotional stress. 

Hypothalamus ->
Pituitary ->
Growth Hormone

  thoracic duct returns lymph from the majority of your body to the left subclavian vein and left internal jugular vein...
​the right lymphatic duct drains the right head and upper arm/torso into the right subclavian vein.

Peptide/Protein Hormones are 
are hydrophylic so they cannot freely cross the plasma membrane requiring receptors on the surface of the cell which are typically coupled to internally anchored proteins such as G proteins. The hormone/receptor complex activates a series of intracellular molecules called second messengers which initiate cell activity, a process called signal transduction. Second messengers include cyclic AMP (cAMP), calcium ions (Ca2+), nitric oxide (NO) and protein kinases. Second messengers amplify the signal.
Peptide hormones consist of short chains of amino acids.
​Protein hormones are longer polypeptides. 
Peptide/Protein hormones include insulin, glucagon, leptin, ADH, oxytocin and GH.

Antibodies are immunoglobulin (Ig)m proteins

btw...opsinization (complement) enhances the ability for phagocytes to engulf pathogens and can be accomplished by both complement proteins and  antibodies produced by B cells.

​Cushing's Disease: excess Cortisol

Diabetes

     cytotoxic T cells                     helper T cells
  cell mediated response    vs     humoral response

Blood Pressure Homeostasis:
ANP decreases blood pressure...

  Lymph nodes exhibit a fibrous capsule which extends inward to divide the node into trabelculae Blood vessels enter and exit the node at the hilum as does the efferent lymphatic vessel. Afferent lymphatics enter the node along the opposite margin. Between the two are mesh like areas including the outer cortex which exposes the lymph to B cells, the paracortex which contains T cells, and the medulla also with B cells and macrophages. As lymph travels through these areas and and dense tissue called medullary cords (think a strainer), 99% of antigens are removed and the immune system has a watchful guard dog. The largest nodes are found at the intersections of peripheral areas and the trunk and can swell in response to infection (inflammation of tissue).

Eczema: Chronic inflammation is a huge component of eczema or atopic dermatitis. Inflammation associated with eczema is considered a type 2 immune response. There is a protein called Periostin that is present when both eczema and other allergic diseases (like asthma) are present and is used in the clinical diagnosis of other inflammatory skin diseases. This link >
explains new research in eczema autoimmunity.

...while others are water soluble

                                 Sequence of Hormone Action:
   1.hormone is synthesized, stored then secreted when release is triggered 
   2.hormone is transported via circulation to target cells
   3.hormone is recognized by specific cells membrane receptors of target cells
   4.hormone signal is relayed and amplified to the cell interior causing cell response
   5.reactions of target cells are recognized by the original hormone-producing
       cells leading to a reduction of hormone production in a negative feedback loop.
   6. hormone is degraded

Growth Hormone 

Hypothalamus/ Pituitary
​Relay

 Acquired Immunity:Cell Mediated   (cytotoxic T cells destroy pathogen)

Chemical Signaling

 Endocrine
​System

Thyroid/
​Parathyroid
Connection

 First Let's talk MHC...
​MHC class I glycoproteins present antigens that originate from the cytoplasm of its infected cell. MHC II proteins present antigens that originate extracellularly from microbes etc that were processed and presented.

Hypothalamus ->
Pituitary ->
Thyroid

btw...your thymus started deteriorating after you were born and then sped up during puberty. By the time you are my age, you will be unable to make new T cells...yikes! 
...and over 90% of developing T cells (thymocytes) die via apoptosis during development in the thymus because they "fail" the "selection" process. Those that do pass, enter circulation as immunocompetent T cells.

    RNA viruses include Ebola hemorrhoragic fever, SARS, the common  cold, influenza, hepatitis C, West Nile fever, polio and measles..

acquired immunity II:
humoral/antibody response:
antibody production involving B cells identifying foreign antigens activated by helper T cells identifying APC's displaying MHC II complexes withy the same foreign antigen

  Part 1: Immunity and The Lymphatic System
             Part 2: The Endocrine System

 APC =antigen presenting cell.  

Psoriasis: T cells fail to recognize self and attack skin cells setting up an immune response. Inflammation occurs. This triggers an increase in cell division. Newly formed skin cells normally take about a month to reach the skin's surface via cell turnover but with psoriasis it takes only days resulting in thick patches of skin.